track交易策略【20190124】

首页 / 精品文章

(发布时间:2019-01-27)

 广告

重点关注

我们官网:www.langyabang.com

我们的小伙伴"汇商琅琊榜(ID:forextop)"原创、干货

道恩学院(ID:Forexdawn)实战培训、每日交易策略

想加入外汇群吗?请加小编微信(ID:forextop77)


Track导师培训课程内容点击下面红字:


Track裸K---培训课程(9800元加入导师每晚8点独家课程解析,咨询:18501674300)


今日解盘:



OANDA(安达)独家技术指标观点:


以下分析均出自OANDA(安达)独家提供的技术指标,指标原理是根据OANDA(安达)全球零售客户的持仓、挂单情况编制而成,在公众号后台输入:“oanda”,即可查看使用说明。oanda实盘客户均可免费使用该指标。


USDJPY:


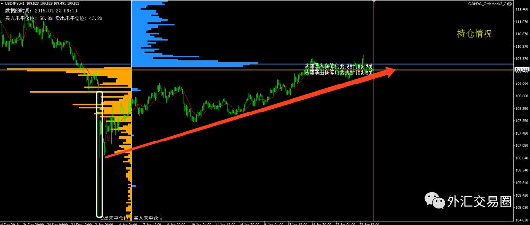
可以看到零售客户在这里的多空持仓处于(多头:56.7%,空头:43.3%),大量用户在110.25/110.10挂空单卖出,108.00挂多单买入。


1.24_USDJPY_挂单情况


自1月3日行情单针探底后,目前维持震荡上行,见下图红色箭头。之前我们曾尝试做空,下行空间不大,部分止盈,部分保本出场。上方关注110.25的压力位。



1.24_USDJPY_持仓情况


关于该持仓、挂单指标的使用心得:


1.该指标的编制方式很独特,因为它让我们了解到更多关于行情的细节,一般意义上,散户是看不到外汇市场的持仓分布情况的,OANDA(安达)愿意将经纪商掌握的该数据和散户分享,十分难度,为OANDA(安达)点赞。


2.该指标是每5min刷新一次,可以及时、动态地反映出价格变化背后的秘密,具有极高的研究探讨价值。可惜本文只能做静态讲解,不能全面其精髓。


3.该指标的使用也可以参考股市里的“筹码分布”概念。熟悉“筹码分布”,你也会对该指标使用得心应手。


4.所谓筹码峰的应用,有单峰、双峰等形态,单峰形态说明筹码集中,容易走出单边行情,而双峰形态,则行情往往在双峰之间运行。


5.观察筹码的移动过程,一定程度上可以推算行情运行的距离,当获利盘/套牢盘大幅减少,行情可能快反转,即便不反转也会转入盘整。


以上分析仅代表嘉宾/指标观点,不代表外汇交易圈、道恩学院的意见,仅作为交易参考,不作为投资建议。原创不易,希望大家在阅读后顺便点赞,以示鼓励!坚持是一种信仰,专注是一种态度!


想加入多个专业的500人外汇交易微信群吗?

添加小编个人微信(forextop77)入群

长按或扫一扫二维码关注外汇交易圈

以下市场推广内容与本图文无关

-----------------------

XMSINA.COM

中国市场七年耕耘,

真诚服务投资者。

点击“阅读原文”,查看OANDA独家指标
最新资讯